电子那点事:低功耗温度采集电路设计
一、电路设计目的
应用在恶劣的使用环境 (如高温、高湿等) 中的部分产品,温度传感器可能因长时间接通电源使传感器本体的材料加快电迁移或老化,导致缩短传感器使用寿命周期或提前失效的情况。增加传感器电源控制电路,解决传感器长时间通电的情况,延长传感器使用寿命。同时本方案也适用于有待机功耗要求的电控方案上。
二、工作原理简介
原理图如上图所述,控制Q1的“MCU I/O”端口为高电平时,Q1的栅极(G)电压高于源极(S)的动作电压阀值VGS(th)使Q1导通,温度传感器电路电源地“Vss(temp)”接通到GND可以进行温度采集;否则控制Q1的“MCU I/O”端口为低电平时,Q1的栅极(G)电压低于源极(S)的动作电压阀值VGS(th)而不能使Q1导通,温度传感器电路电源“Vss(temp)”与GND断开而不能进行温度采集。
在温度传感器电路电源地接通的情况下,温度传感器RT1(相当于可变电阻)与电阻R9形成分压,则“Tp temp”端口电压约为:VCC*RT1/(RT1+R9),温度传感器RT1的电阻值随外界温度的变化而变化,“Tp temp”端口的电压相应变化。RT1在不同的温度有相应的阻值,对应“Tp temp”端口有相应的电压值,外界温度与T端电压形成一一对应的关系,将此对应关系制成表格,单片机通过A/D采样端口采集信号,根据不同的A/D值判断外界温度。
三、各元器件作用
电路中,Q1为低导通内阻的“开关”,用于控制温度传感器采样电路的电源地“Vss(temp)”与GND的通断;
R12与R13组成分压电路,确保Q1在“MCU I/O”端口为高电平时,Q1的栅极(G)电压高于源极(S)的动作电压阀值VGS(th)使Q1可靠导通;
RT1与R9组成分压电路;
D7与D8为钳位二极管,确保输入“Tp temp”端口电压不大于VCC、不小于0V,视实际情况,可作为可选器件。
E5起到平滑波形的作用,考虑实际工作环境,要求室外环境恶劣选用105℃ 高频低阻抗电解电容产品;室内环境可选用85℃。
R11和C7形成RC滤波电路,滤除电路中的尖脉冲,因C7电容选用贴片封装时较易受潮,市场上多次出现因此封装电容失效的外退情况,故根据品质整改分析,要求C7电容封装必须选用插件封装。同时考虑室外的实际工作环境,C7要求该电容选用K档或更高精度的电容。
四、电源开关管Q1
因控制温度检测电路电源地的开关管的导通压降对温度采用精度影响较大,因此该开关管的选择尤为注意,不能选用导通压降太大的普通的三极管和MOS管。另外,该开关管是控制GND与传感器采样电路的电源“Vss(temp)”之间的通断,且温度传感器相对Q1作为上置负载,因此此开关管只能选用N沟道的低导通阻抗的MOS管。
出于成本和尺寸考虑,一般选用导通的最大工作电压VDSS绝对值不大于30V的MOS管,但为了长期可靠工作,该最大工作电压绝对值也不能小于VCC的2倍。
对于MOS管的导通压降影响至关重要的是MOS管导通时漏极D与源极S间的导通阻抗RDS(on) ,根据导通压降VDS(on)= RDS(on)*(IRT1+ IRT2+……), (其中IRT1、IRT2、。。。分别为流过温度传感器1、温度传感器2等温度传感器的电流),由此可知RDS(on)要求尽可能小。一般VGS(th)=+1.2V的情况下,RDS(on)要求不大于3Ω (理由:实际产品设计应用中,单套空调电控上使用的温度传感器数量基本不多于6个,如果按6个传感器计算,通过Q1的最大电流=5V/8.1K*6 =3.7mA(该计算出来的最大电流为各个温度传感器本身直接短路时的电流为正常工作下流过Q1的最大总电流),通过计算该时刻的理论VDS(on)约为0.012V,可以忽略Q1这个导通时的压降对温度采样误差的影响)。
由此Q1 选用漏极最大电流Id不小于200mA的罗姆(ROHM)的N沟道MOS管RUC002N05或者具有Id、VDSS、VGS(th)和RDS(on)这四个关键参数跟RUC002N05要求相同或比RUC002N05更优的同类其他品牌N沟道MOS管。
五、小结
本电路经过实用验证,实现可靠稳定的温度采集,在高温高湿度的环境下,能有效的切断电源来保护NTC温度传感器。当然缺点是增加了一个MCU的IO作为控制口。仅供参考。
NTC测温电路的精度和分辨率的深入数学分析
我之前设计过一个产品,采用NTC以及PIC单片机做环境检测。
NTC测温电路如图
NTC测温电路
温度检测回路采用分压电路,由于热敏电阻TR1常温时(25℃)阻值为10K,所以R44取10K的精密电阻。
负温度系数电阻的性能参数在来料检验时针对关键参数做了详细的测试,如下表:
样品检验数据
可采用查表的方式进行温度检测。
热敏电阻TR1的阻值计算公式为:
热敏电阻阻值计算公式
TR1的阻值与温度关系曲线如下图:
热敏电阻的阻值与温度关系曲线图
当温度为-45+273=228K时,
温度为-45度时的阻值
当温度85+273=358K时,
温度为85度时的阻值
由于A/D VAD电压为,
TR1两端电压表达式
由于MCU自带的A/D为10bit,所以A/D值为:
A/D转换值
A/D值曲线如下:
A/D转值与温度的关系曲线
由上图可知,在高温及低温区,此电路的分辨率将降低。
分辨率计算公式
当温度为-45℃时,ΔCAD=1对应的ΔT为:
温度为-45度时的分辨率
当温度为-45℃时,电路分辨率为:
温度为-45度时的分辨率
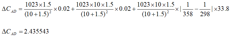
当温度为85℃时,ΔCAD=1对应的ΔT为:
温度为85度时的分辨率
当温度为85℃时,电路分辨率为:
温度为85度时的分辨率
当温度为25℃时,ΔCAD=1对应的ΔT为:
温度为25度时的分辨率
当温度为25℃时,电路分辨率为:
温度为25度时的分辨率
α越低,分辨率越高。
当温度在高温区时,用此电路测试温度是T,那么实际温度应该是T±0.326℃
当温度在低温区时,用此电路测试温度是T,那么实际温度应该是T±0.519℃
当温度在常温区时,用此电路测试温度是T,那么实际温度应该是T±0.051℃
考虑温度、初始及老化公差, R44精度选为2%,R0精度选为2%。
测温精度计算
当温度为-45℃时,
-45度时的精度
综合考虑电路分辨率及A/D值公差,在低温区时,测得温度如果为T,那么实际温度应该是T±1.15℃。
当温度为85℃时,
85度时的精度
综合考虑电路分辨率及A/D值公差,在高温区时,测得温度如果为T,那么实际温度应该是T±0.794℃。
当温度为25℃,
25度时的精度
综合考虑电路分辨率及A/D值公差,在常温区时,测得温度如果为T,那么实际温度应该是T±0.527℃。
相关问答
数字温度计为什么采用 单片机 作为设计的核心?功能虽然很简单,但是采集温度数据和驱动显示器显示温度都需要单片机来协助。采集温度数据可以用NTC作为温度传感器来采集温度数据。NTC是负温度系数的热敏电阻...
单片机 火灾报警用什么温度传感器?单片机火灾报警中使用的温度传感器一般是热敏电阻(thermistor)或热电偶(thermocouple)。热敏电阻是一种能够随着温度变化而改变其电阻值的传感器,其具有灵敏...
电蒸锅的保护电路是怎样的?电蒸锅也叫电蒸笼,电蒸锅是一种在传统的木蒸笼、铝蒸笼、竹蒸笼等基础上开发出来的用电热蒸汽原理来直接清蒸各种美食的厨房生活电器。电蒸锅是一种用电热原理...
电磁炉结构?电磁炉外形由上下壳、陶瓷面板、显示面板、锅具等组成。内部是功率管IGBT(FGA25N120)、整流桥(GBJ2508)、加热线圈(150uH)、谐振电容(0.27uF/1200V)、滤...
24v温控开关需要多少钱?- 一起装修网[回答]4高精度温控模块制冷制热控制器温控开关参考价23XH-W1711温度控制开关可调指令式高精度温控器参考价14W1711微电脑温...24v温...
恒温控制都需要什么设备?恒温控制都需要什么设备?这个问题的关键词就是“恒温”。通俗的说,想把温度控制在某个值,温度一直恒定在这个值附近。知道了恒温的意思,接下来就是恒温控制...
智能红外线耳温计有什么优点?目前,水银体温计因其价廉且性能稳定,是我国医院及家庭使用最为广泛的测温器材,80%以上的医院使用水银体温计进行测量体温。但是水银体温计进行测温存在诸如测...
什么是am2302温湿度传感器?- 一起装修网什么是am2302温湿度传感器?
小米移动电源2,怎么样?小米移动电源2配置有负责过热保护的NTC以及R100检流电阻小米移动电源2采用的MCU是ZMF1206USBN单片机,从型号上判断同样属于紫米定制的芯片,但具体规格暂未明...
湿度传感器分为哪几种?目前,国外生产集成湿度传感器的主要厂家及典型产品分别为Honeywell公司(HIH-3602、HIH-3605、HIH-3610型),Humirel公司(HM1500、HM1520、HF3223、H...
