分享单片机控制16个触摸按键芯片使用,设计注意事项?
在某一项目应用中需用到多个触摸按键,此产品按键次数频繁,工作环境湿度大,对机械按键的寿命有有影响,于是上网查询了一些触摸芯片,常用的单按键触摸,2个按键,4个按键比较多,由于单片机管脚数量有限,只能选择带通信接口的芯片,于是找到WTC6316BSI这颗芯片。这个芯片的参数如下图
WTC6316BSI 使用 16bit 高精度的 CDC(数字电容转换器)IC 检测感应盘(sense element)
(电容传感器)上的电容变化来识别人手指的触摸动作,CDC 输出的数据由内嵌的 RISC
CPU 用高效可靠的算法进行处理。用户可以通过 SPI 接口读取被触摸按键的按键状态。
只需调节 1 个电容 Csel 即可改变所有通道的灵敏度。外围元件少,生产效率高。
设计注意事项
1.SPI总线走线要靠近单片机,如果距离比较远要加上拉电阻提高驱动能力。
2.按键焊盘不能太小,距离要保持一致,避免相互干扰。
3.在不需要软件调节按键灵敏度时,SDI引脚应接高电平。
4.在测试时,先测OUTFLAG管脚,在按键触摸时,有一个低电平脉冲,证明电路工作正常。
5.通过项目使用,这颗触摸芯片还是比较好用的,灵敏度比较高,适合多触摸按键产品。
由于作者水平有限难免有不足之处,发现问题及时提醒作者,望指教。不明之处下方评论。
本人多年软件硬件开发经验,学电路,加关注,分享更多硬件设计知识,电器维修经验,技术干货,让我们共同学习进步。
单片机实例分享,通过手势控制的体感音响
在一些科幻电影中,我们经常能看到人们用手指在空中划动几下就可以控制一台机器。现在我要介绍一款音响,它不是一台普通的音响,而是一款能感知手势的音响。没有开关,没有按键,甚至连一个音量控制旋钮都没有,完全通过探测你的手势来实现开/关机、音量的增/减等操作。
你一定想知道它是怎么工作的,原理其实很简单,就是使用传感器来测量手与机器的距离,根据不同的距离来控制音响,整个系统的构成如图2.1所示。当然这是一维探测,如果有两个传感器水平放置,通过计算两个传感器与手的距离差就可以进行二维控制。
图2.1 体感音响的系统构成
材料准备
1. 测距传感器
目前市面上比较流行的测距方法有3种:无线电测距(也就是常说的雷达)、激光测距和超声波测距。无线电测距在这里显然不行,我们的测距探头要求达到毫米级的精度,而且长时间的电磁辐射会对身体造成伤害。至于激光测距,探头通常造价不菲,另外过强的激光束可能伤害到眼睛。因此,最合适的要数超声波测距了。超声波只是发射出听不见的声音,精度可以保证,还存在盲区小的优点,不会发生手晃动一下,传感器就失去目标的现象。
为了简化硬件设计,最好购买现成的模块,实物如图2.2所示。
图2.2 超声波测距模块
2. 中央控制器
过去,51内核的单片机牢牢地占据着微控制器市场,直到现在也是初学者入门嵌入式系统的绝佳选择。然而任何事物都有一个生命周期,51内核的“先天不足”越来越明显。CISC的复杂架构使芯片门数增加,从而导致功耗高,时钟频率难以提高。RAM、ROM容量普遍偏小,使其很难运行嵌入式实时操作系统,导致研发周期加长。从目前的形势来看,以ARM公司Coretex-M3为内核的STM32系列微控制器最合适不过了。以STM32F103RBT6芯片为例,仅十余元的价格,就带来很多令人兴奋的配置:最高72MHz的时钟频率,带有USB2.0、I2C、USART、SPI、IIS、CAN等接口,拥有128KB的片内Flash、20KB的RAM,拥有49个I/O口(GPIO)、8个定时器,20mA的灌电流直接驱动LED……最主要的是,可以运行μC/OS-II等流行的嵌入式操作系统。其资料也相当齐全,在网上可以找到很多开发板,有的不但附赠很多源代码,甚至还提供视频教程、配套书籍等。因此,不管你是老手还是新手,都是很值得一学的。
为了节约电路板面积、提高性能,目前大部分芯片都采用了贴片封装。这或许会给手工焊接的质量提出更高的要求,不过购买最小系统模块也是不错的选择,虽然稍微贵点,但是硬件性能能得到保证,使我们不用总是做一些重复性的劳动,而是把精力集中在软件的编写上。已经包含最小系统的RBT6模块如图2.3所示。
图2.3 包含最小系统的RBT6 模块
3. 放大器与数字音量电位器
同样,为了简化硬件,放大器仍用现成的模块,如图2.4所示。现在的音频放大器模块种类很多,具体规格就要看你自己的喜好了。我选用的是一款功放芯片为TEA2025B的3W双声道模块,其增益可通过微调电阻调节,+5~+12V供电,用来做电脑的桌面音箱已经足够了。
至于音量调节电路,就需要自己动手制作了。我选用FM62429作为音量调节模块的核心,完成后的实物如图2.5所示。其制作过程我会在后面详细介绍。
图2.4 基于 TEA2025B的放大器模块
图2.5 自制的音量调节电路
4. 其他
另外还需要LED若干、万用板2片、一些常用的接插件、线材以及焊接工具等,具体就不多说啦,相信DIY爱好者一定早有准备。
软件:前后台还是操作系统 ?
在我学习μC/OS-II嵌入式实时操作系统时,看到过一句话,大致是这样的:当你学会使用操作系统,就再也不想回到前后台的开发方式。这不禁让我想起当初学汇编和C语言时,一开始总是在想,学会了汇编是不是还有必要学C语言,但当我学会了C语言,就再也不想转回汇编语言开发程序。使用操作系统到底有多少优点,我不想多说,这需要自己去实践。我想说的是,有很多知识,我们并没有意识到是需要的,直到我们学会了并且应用了。
常用的嵌入式操作系统有很多,比如大名鼎鼎的VxWorks、当前手机使用最多的Android,以及通过美国航空管理局认证,已经应用在“好奇”号火星车的实时内核μC/OS-II等。在这里我使用μC/OS-II,主要考虑到它源代码开放、结构简单、在国内比较流行,而且有大量的学习资源及代码。
图2.6 嵌入式软件系统的基本模型
嵌入式软件系统的基本模型如图2.6所示。当然,并不是所有软件系统都完全遵循这一模型。然而对于大多数嵌入式设备来说,采用这种层次结构来开发整个系统的软件,具有很强的可操作性和可维护性。
软件原理
1. μC/OS-II 基于任务(task)的软件设计方法
简单单片机系统如图2.7所示,这种软件设计方法将所有代码放在一起,代码层次概念不清晰,且功能简单,因此仅适用于小型系统。
μC/OS-II操作系统下基于任务的软件设计方法则不同。基于操作系统的软件开发抛开了对硬件资源的管理,而将硬件资源的管理交给操作系统,这使得代码的层次关系很清晰。同时,对某个任务的响应时间可以由操作系统控制,从而提高程序的执行效率。
图2.7 简单单片机系统
2. 控制方法
在讲代码之前,我们要先明白让程序干些什么。其实我们要实现的功能很简单——开机、音量增、音量减,但是要知道,探测器探测的距离不一定总是到手的距离,它本身并不具备人手识别的功能,只是探测离它最近的物体的距离。也许你在走路的时候会无意间触发其控制程序,出现不想要的结果。因此我们就要有一个“距离开关”,只有达到特定的距离才能被打开,从而使控制有效。
在本程序中,我采用下限距离法和LED渐亮指示法。先设定一个下限距离,比如5cm。当探测的距离大于或等于5cm时,不进行任何动作;当探测的距离小于5cm时,第一个LED由灭渐渐变亮,此过程大约持续2s,如果在这2s内,探测的距离一直小于5cm,那么就打开电源或音量控制开关(流程图见图2.8)。
图2.8 流程图
之所以这样,是因为如果音响放在桌面上,它离桌面边缘通常会有一定的距离,身体自然会大于这个距离,这样便避免了测错目标。加上2s的渐亮延时是因为手可能会在不经意间进入其临界距离,由于声音传播的速度太快,如果不加延时,便会产生误动作。这就像我们设计键盘扫描程序一样。
图2.8所示的流程只是一个思路,实际的代码是分在不同的任务中,在后面我会详细讲解。另外,音量控制是这样的:有5个LED用来显示由近及远5个不同的距离。超声波测距模块的有效距离为30cm,这样我们可以把距离分成6份,每份5cm,每接近5cm,点亮一个灯。如果距离大于30cm,则认为音量设定完毕。
实际操作时是这样的:假如希望音量衰减为10dB,而当手移动至第二个灯亮时即为音量衰减到10dB,这时可以将手水平移动到探测距离之外的盲区,会关闭音量控制开关,而一直保留10dB音量,LED灯也会全部熄灭。
3. 体感音响的软件部分
整个软件由10个文件夹、29个C源代码文件组成,如图2.9所示。不过不用害怕,有很多都是操作系统代码,没必要理解每一行程序,只需要知道重要函数的用法即可。真正需要自己写的代码,其实只有iCode文件夹中7个与硬件相关的C语言驱动程序以及APP文件夹中名为app. c的应用程序。其他的代码很少需要修改甚至不用修改。
图2.9 整个软件由10个文件夹、29个C源代码文件组成
重要部分在app.c文件中,此文件有启动操作系统的main函数,各个任务的建立及运行函数,如图2.10所示。在我们自己编写的所有代码中,有5个文件是操作芯片的外部设备的:VoiceVolume.c控制数字音量电位器,Capture.c控制雷达模块,Led.c控制距离指示LED,pwm.c利用脉宽调制控制LED亮度、启动电源及音量控制开关。另外还有sys.c和timer.c,这两个文件主要是对芯片内部的配置,比如配置中断向量表、定时器等。在实际调用这些代码时,通常会建立与.c文件同名的.h文件。.h文件包含函数的声明、全局变量的声明。在调用的时候,也是用#include命令包含.h文件的。
图2.10 app.c 文件部分代码解释
μC/OS-II是基于任务的,每个任务都有唯一的优先级。优先级不但代表了这个任务优先运行的程度,还是任务的标识。在μC/OS-II中,优先级的数值越小,其优先程度越大。
一个任务的形式通常如下:
static void任务名 (void *p_arg){
p_arg= p_arg;//避免警告
while(1){
用户代码…… }
OSTimeDlyHMSM(0,0,0,10);
}
每个任务都必须有一个死循环,在循环的末尾会有一个延时函数。当一个任务进入延时函数后,此任务便由运行态转为挂起,从而让优先级次低于它的任务执行。虽然从微观角度看,这些程序仍然是顺序执行的,但由于每一任务的用户代码执行得非常快,因此看起来像是同时运行。
p_arg为任务函数的参数,如果不使用,编译器会发出警告。因为我们用不到它,又为避免难看的(但不影响程序正常运行)警告所以会加上“p_arg= p_arg;”。
任务执行时,有时需要进行任务间通信。μC/OS-II支持信号量、邮箱和消息队列。在这里,我们要将AppRader任务计算的距离值传给LED指示任务AppLedIndicate、亮度调节任务AppPWM以及音量控制任务AppVoiceControl,使用邮箱来传递。我们用OSMboxPend函数阻塞式读取数据,也就是说,只要没有收到数据,此函数所在的任务就一直处于挂起状态。
4. 重要代码详解
为了更好地说明程序的工作原理,请看如下代码。
首先是函数及变量的声明:
#define Task_ControlVoice_PRIO 8
#define VoiceTASK_STK_SIZE 512
OS_STK VoiceStk[VoiceTASK_STK_SIZE];
static void AppVoiceControl(void *p_arg);
#define Task_Rader_PRIO 5
#define RaderTASK_STK_SIZE 512
OS_STK RaderStk[RaderTASK_STK_SIZE];
static void AppRader(void *p_arg);
///////LED indicate
#define Task_LedIndicate_PRIO
#define LedIndicate_STK_SIZE 512
①OS_STK LedIndicateStk[LedIndicate_STK_SIZE];
static void AppLedIndicate(void *p_arg);
/////// PWM Control LED
#define Task_PWM_PRIO 7 //6
#define PWM_STK_SIZE 512
OS_STK PWM_IndicateStk[PWM_STK_SIZE];
static void AppPWM(void *p_arg);
/////////Power control
//#define Task_PowerControl_PRIO 9
//#define PowerControl_STK_SIZE 256
//OS_STK PowerControlStk[PWM_STK_SIZE];
//static void AppPowerControl(void *p_arg);
②OS_EVENT *pmailDistance;
③typedef enum {PowerOff=0,PowerOn=1,VoiceOff=0,VoiceOn=1}eStatues;
int gviPowerStatue=0;//gvi means:global volatile int
int gviVoiceStatue=0;
①为了进行任务调度,每个任务都需要一定的堆栈空间。我们用OS_STK,它实际上就是一个结构体。在这里我们将堆栈空间设为512字节。
②在使用邮箱之前,我们先要进行变量的声明。
③共用体eStatues用来指示电源和音量的开关,1表示开,0表示关。
然后进入main函数,初始化芯片、操作系统,启动内核等。
int main(void)
CPU_IntDis();//禁止CPU中断
OSInit();//UCOS初始化
①BSP_Init();//硬件平台初始化
②OSTaskCreate((void (*) (void *)) App_TaskStart, // 建立主任务
(void *) 0, (OS_STK *) &App_TaskStartStk[APP_TASK_START_STK_SIZE - 1],
(INT8U) APP_TASK_START_PRIO);
OSTimeSet(0);
OSStart(); //启动内核
return (0); }
①对芯片正常运行进行初始化,比如将内核时钟调节至72MHz,设置GPIO端口、中断优先级、波特率,以及开启1号串口。
②在这里我们建立了一个主任务 App_TaskStart。其实我们可以将所有的任务都放在 main函数中建立,但是为了看起来简洁,我们将其他任务放在App_TaskStart中建立。
此后是其他任务的建立:
static void App_TaskStart(void* p_arg)
{ (void) p_arg;
①OS_CPU_SysTickInit();//初始化ucos时钟节拍
#if (OS_TASK_STAT_EN > 0) //使能ucos的统计任务
OSStatInit(); //----统计任务初始化函数
#endif
App_TaskCreate();//建立其他的任务
②while (1) //1秒一次循环
{ OSTimeDlyHMSM(0, 0,1, 0); }
}
static void App_TaskCreate(void)
{ ///////////创建任务
OSTaskCreate(AppVoiceControl,NULL,//数字音量电位器调节音量任务
(OS_STK*)&VoiceStk[VoiceTASK_STK_SIZE-1],Task_ControlVoice_PRIO);
OSTaskCreate(AppRader,NULL, //超声波测距模块任务
(OS_STK*)&RaderStk[RaderTASK_STK_SIZE-1],Task_Rader_PRIO);
OSTaskCreate(AppLedIndicate,NULL,//LED指示灯任务
(OS_STK*)&LedIndicateStk[LedIndicate_STK_SIZE-1],Task_LedIndicate_PRIO);
OSTaskCreate(AppPWM,NULL, //PWM控制LED亮度任务
(OS_STK*)&PWM_IndicateStk[PWM_STK_SIZE-1],Task_PWM_PRIO);
pmailDistance=OSMboxCreate(NULL); //////////////// 创建邮箱
}
①如果操作系统要正常进行任务调度等工作,就必须提供一个稳定的时钟滴答。以前我们经常用芯片的Timer,现在我们有了更方便的定时器——SysTick Timer。此 Timer 直接建在Coretex-M3内部,与内核共用一条时钟信号,是专门为加入操作系统而生的。
②实际上App_TaskStart任务只需运行一次,不能不断地创建任务,因此才加入一条循环程序,并且每秒运行一次。
至于任务间如何通信、各任务如何工作,由于代码量比较大,就不列出来了,其工作流程参照图2.8可以理解。
硬件原理与制作过程
1. 音量控制模块
我们以FM62429作为音量控制模块的核心器件,其原理图如图2.11所示。
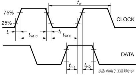
要控制 FM62429,我们需要两根线:数据线(DATA)和时钟线(CLOCK)。其时序如图2.12所示。数据位有10位,如图2.13所示,其中D0和D1位为声道选择位。当D1为0时,双通道同时修改。当D1为1时,若D0为0,只修改通道1;若D0为1,只修改通道2。D2~D10为音量控制位,因为音量衰减与数据值递增无关,因此只能查阅其数据手册来获得数据与音量的关系。
图2.11 FM62429 原理图
图2.12 FM62429的时序
最后介绍一下制作时需要注意的地方。从原理图可见,并没有几个元器件,因此制作难度并不大,但是要特别注意干扰。因为在音量控制级上只要有很小的干扰,经过放大器的放大后,就会发出很大的噪声。首先要过滤来自电源的干扰,在这里我用了大容量电解电容和小瓷片电容并联的方式。另外还要注意线路的布局,如图2.14所示。除了要看起来美观、有序外,还要注意模拟信号线要尽量短。最后,由于我们采用模块化的设计,模块之间的模拟信号连线最好不要用普通的杜邦线,而是使用3芯屏蔽导线。
图2.13 FM62429的数据位
图2.14 线路的布局
2. 超声波传感器
我使用的是深圳捷深公司设计的HR40超声波模块(见图2.2)。它共有4根引脚:VCC为5V电源,GND为地线,TRIG为触发控制信号输入,ECHO为回响信号输出。
其基本工作原理如下:用TRIG触发测距,保持最少10μs的高电平信号。模块自动发送8个40kHz的方波,检测是否有信号返回。若有信号返回,则通过I/O口ECHO输出一个高电平,高电平持续的时间就是超声波从发射到返回的时间。距离=(高电平时间×声速)/2。
由于我们测的距离比较近,在实际编程中,以毫米为单位。又因为芯片定时计数器的捕获时钟设为1ms,这样,只要将测到的时间值乘以0.17即可。
3. 其他
功率放大模块可以自制,也可以购买现成的,不过最好买单电源供电的,这样电平匹配会简单点。最小系统板选用雁凌YL-8。各个模块的硬件连接方法如图2.15所示。
图2.15 各个模块的硬件连接方法
4. 组装
外壳可以购买现成的机壳,我用的是一尺寸为20cm(长)×15.5cm(宽)×6.5cm(高)的白色塑料外壳,如图2.16所示。当然,如果用金属外壳,屏蔽效果会更好。如果你没有买到合适的外壳,也可以用大一点的塑料餐盒或者纸质包装盒。
我们先要用一个大一点的万用板来连接各个模块,完成后就可以安装在机壳内了。因为外壳底部有很多螺丝孔,因此很容易固定在外壳上。在外壳背面,再用电钻钻一个孔,用来连接电源线及数据线。
最麻烦的要数固定测距模块和LED了。准备一套AB胶用来固定。因为这种外壳的前后面板可以从槽内抽出,钻孔又方便了一些。抽出前面板后,测量好超声波发射和接收元件间的距离,然后打孔。我在这里遇到一个小麻烦——最大的钻头直径为10mm,而元件的直径为20mm,因此只能用刀片来扩孔。当两个超声波探头恰好能通过孔露在外面时,就大功告成啦,如图2.17所示。然后钻LED的孔,一共有5个,因为有合适的钻头,所以这一步是很轻松的,只是要注意顺序不要接错(LED从右往左依次为LED1到LED5),其中LED1兼作电源开关和音量开关的开启指示灯。这一切工作完成后,我们就可以舒服地坐在椅子上“远程”控制我们的音响啦!
图2.16 准备一个外壳来容纳部件
图2.17 在前面板上固定好测距模块和LED
二维手势控制体感音响大升级
前面向大家介绍了一维方式的体感音响,它的升级版不但可以感应到手距离传感器的远近,还能探测出水平偏移(即手在音箱的左侧、右侧还是中间位置)。现在让我介绍一下它吧!
在介绍它的原理之前,我先讲一下如何使用它。
开启/关闭电源:电路板左右各有一个超声波传感器(见图2.18),准确地说,是两个接收模块。让你的手心对着电路板,然后从左到右移动,注意手到电路板的距离不要超过30mm,这时你会看到最底下那一排(5个)LED也从左向右跟着你手的移动而依次亮了起来。当LED全部都亮了之后,手再从右向左移动,这时LED又随着手势从右向左依次熄灭。当LED全都熄灭大约1s后,你会听到轻微的“哒”的一声,这是继电器接通,电磁铁触点接触时的声音,也表明电源开启了。当你想关闭电源时,很简单,重复一次上面的动作就行啦!
图2.18 顶板
音量控制:控制音量要有一个前提,那就是电源需要处于开启状态。电源开启后,手从右向左,再从左向右(这和开启/关闭电源时的动作相反),会告诉微控制器启动音量控制程序。现在手不要急着离开,正对着右侧的传感器,你会发现当你的手前后移动时,右侧的一排LED也根据距离的不同而点亮不同的数目。如果正在播放音乐,你会听到其音量随着距离的变远而减小。当调到适合的音量,继续让手水平向右移,到一定的距离后,右侧LED突然全部熄灭,音量就会“定格”在那里。
经过我的介绍,你一定迫不及待地想知道其工作原理,并亲手制作一台了吧?不要着急,我会详细讲解的,不光是工作原理,还会包含在实验过程中可能遇到的问题。这些都是本人的亲身经历,独家秘笈哦。
升级版硬件
升级版体感音响的材料基本和第一版的一样,只是多了两个接收传感器模块(见图2.19)。如果不想全部自己设计硬件,在网上买现成的模块也是一个很好的选择。其实我比较推荐这种方案,因为我们的重点在于软件,而硬件方面在技术上是很成熟的,没必要做一些重复性的工作。当然,如果是为了学习硬件方面的知识,那就是另一回事啦。
图2.19 升级版体感音响的构成
虽然材料没有多用很多,但是整个系统的布局相比于第一版有了很大的变化。一是为了适应二维控制的特殊性,二来也大大提高了抗干扰能力,并降低了功率放大器的噪声。具体设计如下:首先,我使用了两片比较大(大概是10cm×15cm)的万用板,顶板用来安装指示灯电路和超声波发射、接收模块,底板则包含了整个系统的核心电路,包括数字音量控制电路、电源控制电路、功率放大模块以及微控制器模块(见图2.20)。顶板与底板的连接是这样的,发射模块及接收模块使用自带的排线连接,而考虑到LED指示电路需要的连线比较多,就直接用长一点的单排针来连接了(见图2.21)。
图2.20 底板
图2.21 LED 指示电路用长一点的单排针来连接
另外,还需要提醒两点:一是在线路排布上,由于涉及的元器件比较多,连线难免会搭在一起(见图2.22),一定要注意绝缘。我就遇到过下面这样的问题:在组装电源控制电路时,考虑到电路很简单,只有一个三极管、一个电阻、一个继电器,因此就直接用元器件引脚多出来的部分来连接,但我当时没有注意到,在焊接时引脚会很热,结果恰好熔化了旁边的红色塑料绝缘导线,从而造成了三极管基极和VDD之间短路。这个短路确实很“坑爹”,因为引脚导线很细,而且其温度又不至于使塑料绝缘体冒烟,结果两秒钟可以解决的问题,我花了好几个小时才解决。看来搞硬件的个个都要粗中有细才行。
图2.22 连线难免会搭在一起,一定要注意绝缘
二是关于数字地与模拟地,如果处理不好,很容易导致数字电路工作不稳定,模拟电路出现很大噪声。这在第一版时没有考虑周到,当扬声器接到放大器的输出端时总能听到很讨厌的噪声。为了避免以上情况,首先要用电感隔离数字地和模拟地。另外大家都比较喜欢用电脑的USB供电,但最好外接电源,因为计算机的音频插孔的地线也是来自计算机,这会造成数字和模拟电平不一致,带来很大干扰。
升级版软件
下面结合图2.23来介绍一下基本原理。首先,发射器发射一束声波,经过一定的时间,超声波就会反弹回左、右接收器,这时我们便可计算出手与传感器的距离,根据其信号强弱以及左、右接收器接收到距离的差值计算出水平偏移。
图2.23 基本原理
虽说原理讲起来很简单,但现实总是会和理想有一定差距,如果没有巧妙的办法,是很难实现的。下面我就还原一下“现场”,把遇到的问题与解决方法详细地讲一讲。
1. 最初的设想——距离计算法
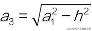
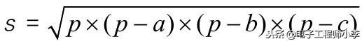
最重要的要算是算法设计与选择了。我一开始使用的是三角形原理,算法复杂,计算量很大。我当时是这样想的:在图2.23中把两接收器间的距离看成三角形的底边,把目标物体看成是顶角,左/右侧接收器测出三角形的左/右边。因为3边长度都知道了,根据海伦公式便可知其面积s:
,其中p=(a+b+c)/2。a、b、c为各边边长。 由h=2s/c(底边长)可知高。从图2.24中可以看到,整个大三角形被高分成了左、右两个小直角三角形。以左侧小三角形为例,由勾股定理可知
,最后用底边长a4的1/2减去a3即得出手到两接收器中线的偏移a5。
图2.24 距离计算法原理图
在设计之初,我为想出这种方法兴奋得不得了,可是真正应用到实践中时,麻烦就来了。首先就是芯片的计算能力的问题。从海伦公式中可看出,不但要计算出二次方根,还要连续做3次乘法运算,数值稍微大一点,就溢出了。我一开始测试时,结果总是零,查了很久,最后才发现是因为数值太大,程序“罢工”了。事实上,即使降低精度,最后得到的结果也是相当不稳定的,因为手本身是一个不规则物体,而且还在不断运动。
2. 信号强度检测法
我研究了将近一个星期,还是没搞定,眼看计划就要泡汤了,最后终于想到了另一个方法——既然距离计算法不行,那就用信号强度检测法。这个方法非常接近蝙蝠的定位原理,因为蝙蝠的大脑没有那么快的处理速度,不可能计算出物体的距离。这个方法的原理非常简单:首先,发射器发射出一束超声波,请注意,这束超声波在同一水平面内,越接近中轴线的位置,信号强度越大。遇到手后反射的声波也同样如此(见图2.25)。如果手向左侧水平移动,左侧接收器接到的信号强度就会更强。根据两传感器的强度差即可知道偏移量。
图2.25 信号强度检测法原理图
以上方法虽然在软件上很容易实现,但在硬件上比较难实现,因为市面上大多数超声波接收模块都是以电平高低来触发处理器的Timer,并不能指示信号强度。难道我们真的要重新设计接收器吗?有没有替代方案呢?答案是肯定的。有很多接收模块都可以通过数字信号控制放大电路的增益,我们虽然不能直接得到信号强度,但可以间接测得。
同样请看图2.24,当左、右两接收器的增益很大时都能收到信号,尽管右侧的接收器距离目标物更远一点,但还不至于使信号衰减到收不到的程度。现在我们同步降低两个接收器的增益,直到左侧传感器恰好能够触发处理器的Timer,由于两接收模块的放大倍数本身就小,而且右侧信号强度又比左侧弱很多,显然右侧接收器不会触发处理器的Timer。如果手水平移动到中间,两传感器则会同时有或无信号;而移动到右边,情况就和左边相反了。这样,通过信号的有无,我们就间接地知道了手的水平位置。事实上,我们还可以根据此原理起到“无关物体过滤”功能。如果波是从身体反射过来的,那么信号强度会大于同距离时从手反射过来的声波。“原来用800倍的放大倍数就没反射信号,现在同样距离用500倍的放大倍数仍然还没有,一定是无关物体,”我们可以让处理器这样“想”。
3. 两种方法的结合
在实际的代码中,我将信号的有无,即偏移值分为5类情况,并对应地接上了5个LED来显示(图2.18中最下边那一排就是)。
LED1亮:手处于最左边,左接收器能收到,但右接收器收不到。
LED2亮:手处于最右边,左接收器收不到,但右接收器能收到。
LED3亮:手处于中间位置,两接收器均能收到,且距离基本相等。
LED4亮:手处于中间偏左位置,两接收器均能收到,但左边收到信号的时间更短。
LED5亮:手处于中间偏右位置,两接收器均能收到,但右边收到信号的时间更短。
事实上还有一个隐含状态——左右两边都没有收到信号,这样就没法探测手势啦,不过它可以帮助我们关闭音量控制程序。
这样看来,我们既使用了距离计算法,又使用了信号强度检测法——鱼和熊掌并不总是不可兼得的哦。
4. 音量控制算法的设计
在完成了水平位置的探测后,我们就可以通过手势来开关音响的电源了。不过这还不够,因为我们经常需要调节音量。我是这样设计音量控制算法的:以手到传感器的距离变化来控制音量,当距离变近时,音量变小,反过来则变大。
在这之前还有一个步骤,由于我们在开/关机时不能保证手的移动绝对水平,或者说探测的垂直距离值始终不变,这会导致音量也跟着变了,这并不是我们想要的。因此我们要有一个音量控制“开关”,当然它不必是真正的开关,而是一组程序。其功能类似于手机的锁定键,如果手机放在口袋里,很容易按下不可预知的键,加上锁定功能,就不会对误按做出反应。不过在这里我们不用按键,只需要用手挥一挥就可以。从左到右的手势是用来开机的,那么用于解锁的手势就从右向左吧!
当我们选好了想要的音量后,手总不能一直留在那儿吧?手一动音量值就又变了,因此还要吧“音量控制开关”关掉。其实很简单,不用再设计手势了,在控制音量时设定一个条件就可以了:当左侧传感器收不到信号,而右侧传感器能收到信号,也就是说,手在最右边时,距离值才有效。当我们要关闭音量程序时,接着把手往右移,直到右边的传感器也接收不到信号,就认为关闭此段程序了。之后只要我们不做出解锁的手势,再怎么张牙舞爪,音响也没任何反应。
以上内容我其实是以自然语言的方式来讲解计算机语言,因为现在的高级语言是很接近自然语言的。在实际编程中,我也是先将想法、注意点等写在笔记本上,至于画流程图、先写出伪代码之类方法,倒是基本没用过。不过流程图对于理解整体思路确实很有帮助,最后我还是画了一个给大家参考(见图2.26)。
图2.26 程序流程图
相关问答
C51 单片机 ,键盘输入有什么特点?为何要消除键盘抖动?-ZOL问答51单片机键盘一侧与地相连,一侧与单片机I/O口相连,按下键盘,I/O口即为低电平。因为键盘的制造工艺不同,在按下键盘过程中,键盘可能已经与地连接分开数次(很短的...
【如何利用 单片机 和传感器信号 控制 步进电机的转停?我现在的...[最佳回答]请详细阐述这几个脚的作用,你的电机需要什么样子的驱动波形?sbitclock=P1^0;//CLOCK产生时钟信号sbitenable=P1^1;//ENABLE使能sbithalf...
可不可以帮我编写用51 单片机 加四个按钮分别 控制 两个步进电机...之前实习做过的步进电机控制,可供参考有用(0)回复这个不是有偿的话,相信没人...如何制作Windows系统安装U盘最简单的方法有手就行评论6DIY从入门到放弃:...
...器 控制 器自动上水、测温,加热控制要 单片机控制 有那位大会请把1太阳能热水器控制器怎么调太阳能热水器控制器的使用方法加水的水位键,可以加水或者是终止加水。设置键:是可以用来设置其中电加热的温度上限和加水的水位上...
怎么检测 单片机的 好坏?第一步:从表象来判断:首先我们可以用手去触摸单片机的表面(小心烫到手),看是否发烫?如果发烫,极有可能就是单片机坏掉了,有些甚至直接冒烟。为了进一步...
单片机 触摸开关原理是什么?_土巴兔装修问答原理如下:触摸开关是由微电子元件构成,无机械触点和机械运动。具有开关特性好、动态响应快、无触点,弱电控制等特点。需要输入控制信号时,利用人手...
帮个忙在线的大神 哪位了解!青海管机侠机器人怎么使用,管...学习板P1.0-P1.7是LED流水灯控制端口,二极管正极接5V电源的二极管负极接单片机P1端口,你单片机P1口输出低电平二极管亮是当然的啦。你用手触摸单片...
学习 单片机 需要什么知识基础?朋友们好,我是电子及工控技术,我来回答这个问题。单片机作为一种实践性非常强的技术,要想入门单片机就要有做一些准备,有一句话叫“兵马未动,粮草先行”,我...比...
有没有人要做基于 单片机的 电子开发,想练练 手 ?首先感谢您邀请我回答这个问题。希望我的回答能对您有所帮助!小胖我跟您算是同行了。我从事IT开发10年了。我想不止是您有创业的这个想法,我想我们IT人员都有这...
单片机 ,学习型遥控器,只要求学习某一款空调的开关即可,做好...告诉他这个信号是干什么的,所以当它记忆住了这个信号,以后知道发射这个信号即可。一般遥控器为红外信号,所以你只要单片机加上一对红外对管即可,程序发挥下...
