单片机c语言基础知识,c语言必背100代码有哪些?
我记得刚开始接触编程的时候,觉得太难了。
也很好奇,写代码的那些人也太厉害了吧?全是英文的,他们的英文水平一定很好吧?
他们是怎么记住这么多代码格式的?而且错了一个标点符号,整个程序都会有影响。
一个程序几千行,错一个标点符号都不行这也太难了吧?
带着新手的灵魂拷问,作为从业单片机编程10年的开发者,我来为大家拨开云雾。
看完以后你就会明白,其实他们也没那么厉害!即便你是初中文凭,也照样能编程。
对于c语言来说,要记得东西其实不多,基本就是几个常用语句加一些关键字而已。
你所看到的那些几千甚至上万行的代码,都是用这些语句和关键词来重复编写的。
只是他们逻辑功能不一样,另外的那些英文,都是程序员自己起的,比如说一些变量的名字,函数的名字。
如果你喜欢你定义成abc都可以,只不过为了程序大了以后为了方便阅读和维护,我们一般起跟要实现的功能相同的英文缩写代替。
比如说我要存储一个电压值,那你可以定义一个变量,名字叫VoltageValue,或者这两个词的缩写VoltVal。
所以,大家不要把这个想得这么神秘和高大上。
而从事单片机编程,需要的编程水平比做纯软件还要低一些,毕竟单片机的内存很有限,太大的程序也放不下。
单片机的c语言基础知识大家可以参考以下目录学习:
这个教程找无际单片机编程就可以拿到。
这是课程就是针对零基础的小伙伴学习的,先从认识单片机开始,然后再到计算机的存储和计算方式二进制、十进制。
学完这些基础,开始学习c语言的基本语法。
在学习过程中,大家一定要勤动手,多在单片机开发板上面做实验。
千万不要让知识点停留看懂的层面,看懂和自己能写出来区别还是很大的,请相信我!
如果你这些都学完了,可以在开发板上做个小实验,比如说电子时钟之类的。
这个步骤非常有必要,写的过程可以培养你的项目思维,以及代码整合能力。
如果这步直接跳过,后续学习更高级的stm32就会碰到很多问题,最大的问题就是你都学完了做项目还是无从下手。
单个功能都能实现,但整合起来就不知道怎么做了。
这就是缺少项目思维和代码整合能力导致的,不要一味地去追求学习高端的单片机,等你基础打扎实了,你会发现高端的也不过如此,就是外设多一点,资源丰富一点。
甚至说你会觉得高端的用起来比低端的单片机更加方便。
典型的就是stm32和51的对比,stm32单片机都是基于固件库开发,也就是原厂提供一套程序给你,你按照他们的函数调用就能把stm32单片机的资源用起来。
而51单片机就需要你去配置他们最底层的寄存器才能把资源用起来。
相对来说,stm32用熟了,开发效率会比51的高很多倍。
最后来聊下,有些新手说的c语言必背100个代码。
这纯粹是在瞎扯淡,c语言只是工具,不同的人用这个工具去实现同一种功能,他们的实现方法可能是不一样的,因为每个人的思维不同。
这不像我们课文靠背的,也没必要去背,看代码最重要的是理解这段代码实现功能的思路和原理。
通过功能和原理去理解代码,而不是通过代码去理解功能原理。
这个顺序搞不对,你一辈子都学不好编程。
单片机常用的14个C语言算法,需熟记于心!
算法(Algorithm):计算机解题的基本思想方法和步骤。
算法的描述:是对要解决一个问题或要完成一项任务所采取的方法和步骤的描述,包括需要什么数据(输入什么数据、输出什么结果)、采用什么结构、使用什么语句以及如何安排这些语句等。通常使用自然语言、结构化流程图、伪代码等来描述算法。
一、计数、求和、求阶乘等简单算法
此类问题都要使用循环,要注意根据问题确定循环变量的初值、终值或结束条件,更要注意用来表示计数、和、阶乘的变量的初值。
例:用随机函数产生100个[0,99]范围内的随机整数,统计个位上的数字分别为1,2,3,4,5,6,7,8,9,0的数的个数并打印出来。
本题使用数组来处理,用数组a[100]存放产生的确100个随机整数,数组x[10]来存放个位上的数字分别为1,2,3,4,5,6,7,8,9,0的数的个数。即个位是1的个数存放在x[1]中,个位是2的个数存放在x[2]中,……个位是0的个数存放在x[10]。
void main()
{
int a[101],x[11],i,p;
for(i=0;i<=11;i++)
x=0;
for(i=1;i<=100;i++)
{
a=rand() % 100;
printf("%4d",a);
if(i%10==0)printf("\n");
}
for(i=1;i<=100;i++)
{
p="a"%10;
if(p==0) p="10";
x
=x
+1;
}
for(i=1;i<=10;i++)
{
p="i";
if(i==10) p="0";
printf("%d,%d\n",p,x);
}
printf("\n");
}
二、求两个整数的最大公约数、最小公倍数
分析:求最大公约数的算法思想:(最小公倍数=两个整数之积/最大公约数)
(1) 对于已知两数m,n,使得m>n;
(2) m除以n得余数r;
(3) 若r=0,则n为求得的最大公约数,算法结束;否则执行(4);
(4) m←n,n←r,再重复执行(2)。
例如: 求 m="14" ,n=6 的最大公约数. m n r
14 6 2
6 2 0
void main()
{ int nm,r,n,m,t;
printf("please input two numbers:\n");
scanf("%d,%d",&m,&n);
nm=n*m;
if (m<n)
{ t="n"; n="m"; m="t"; }
r=m%n;
while (r!=0)
{ m="n"; n="r"; r="m"%n; }
printf("最大公约数:%d\n",n);
printf("最小公倍数:%d\n",nm/n);
}
三、判断素数
只能被1或本身整除的数称为素数 基本思想:把m作为被除数,将2—INT( )作为除数,如果都除不尽,m就是素数,否则就不是。(可用以下程序段实现)
void main()
{ int m,i,k;
printf("please input a number:\n");
scanf("%d",&m);
k=sqrt(m);
for(i=2;i<k;i++)
if(m%i==0) break;
if(i>=k)
printf("该数是素数");
else
printf("该数不是素数");
}
将其写成一函数,若为素数返回1,不是则返回0
int prime( m%)
{int i,k;
k=sqrt(m);
for(i=2;i<k;i++)
if(m%i==0) return 0;
return 1;
}
四、验证哥德巴赫猜想
(任意一个大于等于6的偶数都可以分解为两个素数之和)
基本思想:n为大于等于6的任一偶数,可分解为n1和n2两个数,分别检查n1和n2是否为素数,如都是,则为一组解。如n1不是素数,就不必再检查n2是否素数。先从n1=3开始,检验n1和n2(n2=N-n1)是否素数。然后使n1+2 再检验n1、n2是否素数,… 直到n1=n/2为止。
利用上面的prime函数,验证哥德巴赫猜想的程序代码如下:
#include "math.h"
int prime(int m)
{ int i,k;
k=sqrt(m);
for(i=2;i<k;i++)
if(m%i==0) break;
if(i>=k)
return 1;
else
return 0;
}
main()
{ int x,i;
printf("please input a even number(>=6):\n");
scanf("%d",&x);
if (x<6||x%2!=0)
printf("data error!\n");
else
for(i=2;i<=x/2;i++)
if (prime(i)&&prime(x-i))
{
printf("%d+%d\n",i,x-i);
printf("验证成功!");
break;
}
}
五、排序问题
1.选择法排序(升序)
基本思想:
1)对有n个数的序列(存放在数组a(n)中),从中选出最小的数,与第1个数交换位置;
2)除第1 个数外,其余n-1个数中选最小的数,与第2个数交换位置;
3)依次类推,选择了n-1次后,这个数列已按升序排列。
程序代码如下:
void main()
{ int i,j,imin,s,a[10];
printf("\n input 10 numbers:\n");
for(i=0;i<10;i++)
scanf("%d",&a);
for(i=0;i<9;i++)
{ imin="i";
for(j=i+1;j<10;j++)
if(a[imin]>a[j]) imin="j";
if(i!=imin)
{s=a; a=a[imin]; a[imin]=s; }
printf("%d\n",a);
}
}
2.冒泡法排序(升序)
基本思想:(将相邻两个数比较,小的调到前头)
1)有n个数(存放在数组a(n)中),第一趟将每相邻两个数比较,小的调到前头,经n-1次两两相邻比较后,最大的数已“沉底”,放在最后一个位置,小数上升“浮起”;
2)第二趟对余下的n-1个数(最大的数已“沉底”)按上法比较,经n-2次两两相邻比较后得次大的数;
3)依次类推,n个数共进行n-1趟比较,在第j趟中要进行n-j次两两比较。
程序段如下
void main()
{ int a[10];
int i,j,t;
printf("input 10 numbers\n");
for(i=0;i<10;i++)
scanf("%d",&a);
printf("\n");
for(j=0;j<=8;j++)
for(i=0;i<9-j;i++)
if(a>a[i+1])
{t=a;a=a[i+1];a[i+1]=t;}
printf("the sorted numbers:\n");
for(i=0;i<10;i++)
printf("%d\n",a);
}
3.合并法排序(将两个有序数组A、B合并成另一个有序的数组C,升序)
基本思想:
1)先在A、B数组中各取第一个元素进行比较,将小的元素放入C数组;
2)取小的元素所在数组的下一个元素与另一数组中上次比较后较大的元素比较,重复上述比较过程,直到某个数组被先排完;
3)将另一个数组剩余元素抄入C数组,合并排序完成。
程序段如下:
void main()
{ int a[10],b[10],c[20],i,ia,ib,ic;
printf("please input the first array:\n");
for(i=0;i<10;i++)
scanf("%d",&a);
for(i=0;i<10;i++)
scanf("%d",&b);
printf("\n");
ia=0;ib=0;ic=0;
while(ia<10&&ib<10)
{ if(a[ia]<b[ib])
{ c[ic]=a[ia];ia++;}
else
{ c[ic]=b[ib];ib++;}
ic++;
}
while(ia<=9)
{ c[ic]=a[ia];
ia++;ic++;
}
while(ib<=9)
{ c[ic]=b[ib];
b++;ic++;
}
for(i=0;i<20;i++)
printf("%d\n",c);
}
六、查找问题
顺序查找法(在一列数中查找某数x)
基本思想:一列数放在数组a[1]---a[n]中,待查找的数放在x 中,把x与a数组中的元素从头到尾一一进行比较查找。用变量p表示a数组元素下标,p初值为1,使x与a
比较,如果x不等于a
,则使p=p+1,不断重复这个过程;一旦x等于a
则退出循环;另外,如果p大于数组长度,循环也应该停止。(这个过程可由下语句实现)
void main()
{ int a[10],p,x,i;
printf("please input the array:\n");
for(i=0;i<10;i++)
scanf("%d",&a);
printf("please input the number you want find:\n");
scanf("%d",&x);
printf("\n");
p=0;
while(x!=a
&&p<10)
p++;
if(p>=10)
printf("the number is not found!\n");
else
printf("the number is found the no%d!\n",p);
}
思考:将上面程序改写一查找函数Find,若找到则返回下标值,找不到返回-1
②基本思想:一列数放在数组a[1]---a[n]中,待查找的关键值为key,把key与a数组中的元素从头到尾一一进行比较查找,若相同,查找成功,若找不到,则查找失败。(查找子过程如下。index:存放找到元素的下标。)
void main()
{ int a[10],index,x,i;
printf("please input the array:\n");
for(i=0;i<10;i++)
scanf("%d",&a);
printf("please input the number you want find:\n");
scanf("%d",&x);
printf("\n");
index=-1;
for(i=0;i<10;i++)
if(x==a)
{ index="i"; break;
}
if(index==-1)
printf("the number is not found!\n");
else
printf("the number is found the no%d!\n",index);
}
七、二分法
在一个数组中,知道一个数值,想确定他在数组中的位置下标,如数组:A[5] = {1,2,6,7,9};我知道其中的值为6,那么他的下标位置就是3。
int Dichotomy(int *ucData, int long, int num)
{
int iDataLow = 0 ;
int iDataHigh = num - 1;
int iDataMIDDLE;
while (iDataLow <= iDataHigh)
{
iDataMIDDLE = (iDataHigh + iDataLow)/2;
i f (ucData[iDataMIDDLE] > long)
{
iDataHigh = iDataMIDDLE - 1 ;
}
else if (ucData[iDataMIDDLE] < long)
{
iDataLow = iDataMIDDLE + 1 ;
} else{
return iDataMIDDLE ;
}
}
}
八、限幅滤波法
对于随机干扰 , 限幅滤波是一种有效的方法;
基本方法:比较相邻n 和 n - 1时刻的两个采样值y(n)和 y(n – 1),根据经验确定两次采样允许的最大偏差。如果两次采样值的差值超过最大偏差范围 ,认为发生可随机干扰 ,并认为后一次采样值y(n)为非法值 ,应予删除 ,删除y(n)后 ,可用y(n – 1) 代替y(n);若未超过所允许的最大偏差范围 ,则认为本次采样值有效。
下面是限幅滤波程序:( A 值可根据实际情况调整,value 为有效值 ,new_value 为当前采样值滤波程序返回有效的实际值 )
#define A 10
char value;
char filter()
{ char new_value;
new_value = get_ad();
if ( ( new_value - value > A ) || ( value - new_value > A )) return value;
return new_value;
}
九、中位值滤波法
中位值滤波法能有效克服偶然因素引起的波动或采样不稳定引起的误码等脉冲干扰;
对温度 液位等缓慢变化的被测参数用此法能收到良好的滤波效果 ,但是对于流量压力等快速变化的参数一般不宜采用中位值滤波法;
基本方法:对某一被测参数连续采样 n次(一般 n 取奇数) ,然后再把采样值按大小排列 ,取中间值为本次采样值。
下面是中位值滤波程序:
#define N 11
char filter()
{ char value_buf[N], count,i,j,temp;
for ( count=0;count<N;count++)
{ value_buf[count] = get_ad(); delay(); }
for (j=0;j<N-1;j++)
{ for (i=0;i<N-j;i++)
{ if ( value_buf>value_buf[i+1] )
{temp = value_buf; value_buf = value_buf[i+1]; value_buf[i+1] = temp; }
}
}
return value_buf[(N-1)/2];
}
十.算术平均滤波法
算术平均滤波法适用于对一般的具有随机干扰的信号进行滤波。这种信号的特点是信号本身在某一数值范围附近上下波动 ,如测量流量、 液位;
基本方法:按输入的N 个采样数据 ,寻找这样一个 Y ,使得 Y 与各个采样值之间的偏差的平方和最小。
编写算术平均滤波法程序时严格注意:
一.为了加快数据测量的速度 ,可采用先测量数据 存放在存储器中 ,测完 N 点后 ,再对 N 个数据进行平均值计算;
二.选取适当的数据格式 ,也就是说采用定点数还是采用浮点数。其程序如下所示:
#define N 12
char filter()
{int sum = 0,count;
for ( count=0;count<N;count++)
{ sum+=get_ad(); delay();}
return (char)(sum/N);
}
十一、递推平均滤波法
基本方法:采用队列作为测量数据存储器 , 设队列的长度为 N ,每进行一次测量 ,把测量结果放于队尾 ,而扔掉原来队首的一个数据 ,这样在队列中始终就有 N 个 “最新” 的数据。当计算平均值时 ,只要把队列中的 N 个数据进行算数平均 ,就可得到新的算数平均值。这样每进行一次测量 ,就可得到一个新的算术平均值。
#define N 12
char value_buf[N],i=0;
char filter()
{ char count; int sum=0;
value_buf[i++] = get_ad();
if ( i == N ) i = 0;
for ( count=0;count<N;count++)
sum = value_buf[count];
return (char)(sum/N);
}
十二、一阶滞后滤波法
优点:对周期性干扰具有良好的抑制作用,适用于波动频率较高的场合;
缺点:相位滞后,灵敏度低.滞后程度取决于a值大小.不能消除滤波频率高于采样频率的1/2的干扰信号。程序如下:
#define a 50
char value;
char filter()
{ char new_value;
new_value = get_ad();
return (100-a)*value + a*new_value;
}
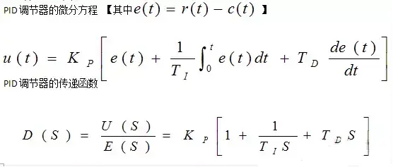
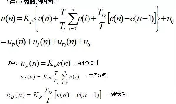
十三、PID控制算法
在过程控制中,按偏差的比例(P)、积分(I)和微分(D)进行控制的PID控制器(亦称PID调节器)是应用最为广泛的一种自动控制器;
对于过程控制的典型对象──“一阶滞后+纯滞后”与“二阶滞后+纯滞后”的控制对象,PID控制器是一种最优控制;
PID调节规律是连续系统动态品质校正的一种有效方法,它的参数整定方式简便,结构改变灵活(PI、PD、…)。
一 模拟PID调节器
PID调节器各校正环节的作用:
比例环节:即时成比例地反应控制系统的偏差信号e(t),偏差一旦产生,调节器立即产生控制作用以减小偏差;
积分环节:主要用于消除静差,提高系统的无差度。积分时间常数TI越大,积分作用越弱,反之则越强;
微分环节:能反应偏差信号的变化趋势(变化速率),并能在偏差信号的值变得太大之前,在系统中引入一个有效的早期修正信号,从而加快系统的动作速度,减小调节时间。
PID调节器是一种线性调节器,它将给定值r(t)与实际输出值c(t)的偏差的比例(P)、积分(I)、微分(D)通过线性组合构成控制量,对控制对象进行控制。
程序片段如下:
#include <reg52.h>
#include <string.h>
typedef struct PID {
double SetPoint; // 设定目标Desired value
double Proportion; // 比例常数Proportional Const
double Integral; // 积分常数Integral Const
double Derivative; // 微分常数Derivative Const
double LastError; // Error[-1]
double PrevError; // Error[-2]
double SumError; // Sums of Errors
} PID;
主程序:
double sensor (void)
{
return 100.0; }
void actuator(double rDelta)
{}
void main(void)
{
PID sPID;
double rOut;
double rIn;
PIDInit ( &sPID );
sPID.Proportion = 0.5;
sPID.Derivative = 0.0;
sPID.SetPoint = 100.0;
for (;;) {
rIn = sensor ();
rOut = PIDCalc ( &sPID,rIn );
actuator ( rOut );
}
}
十四、开根号算法
单片机开平方的快速算法
因为工作的需要,要在单片机上实现开根号的操作。目前开平方的方法大部分是用牛顿迭代法。我在查了一些资料以后找到了一个比牛顿迭代法更加快速的方法。不敢独享,介绍给大家,希望会有些帮助。
1.原理
因为排版的原因,用pow(X,Y)表示X的Y次幂,用B[0],B[1],...,B[m-1]表示一个序列,其中[x]为下标。
假设:
B[x],b[x]都是二进制序列,取值0或1。
M = B[m-1]*pow(2,m-1) + B[m-2]*pow(2,m-2) + ... + B[1]*pow(2,1) + B[0]*pow(2,0)
N = b[n-1]*pow(2,n-1) + b[n-2]*pow(2,n-2) + ... + b[1]*pow(2,1) + n[0]*pow(2,0)
pow(N,2) = M
(1) N的最高位b[n-1]可以根据M的最高位B[m-1]直接求得。
设 m 已知,因为 pow(2, m-1) <= M <= pow(2, m),所以 pow(2, (m-1)/2) <= N <= pow(2, m/2)
如果 m 是奇数,设m=2*k+1,
那么 pow(2,k) <= N < pow(2, 1/2+k) < pow(2, k+1),
n-1=k, n=k+1=(m+1)/2
如果 m 是偶数,设m=2k,
那么 pow(2,k) > N >= pow(2, k-1/2) > pow(2, k-1),
n-1=k-1,n=k=m/2
所以b[n-1]完全由B[m-1]决定。
余数 M[1] = M - b[n-1]*pow(2, 2*n-2)
(2) N的次高位b[n-2]可以采用试探法来确定。
因为b[n-1]=1,假设b[n-2]=1,则 pow(b[n-1]*pow(2,n-1) + b[n-1]*pow(2,n-2), 2) = b[n-1]*pow(2,2*n-2) + (b[n-1]*pow(2,2*n-2) + b[n-2]*pow(2,2*n-4)),
然后比较余数M[1]是否大于等于 (pow(2,2)*b[n-1] + b[n-2]) * pow(2,2*n-4)。这种比较只须根据B[m-1]、B[m-2]、...、B[2*n-4]便可做出判断,其余低位不做比较。
若 M[1] >= (pow(2,2)*b[n-1] + b[n-2]) * pow(2,2*n-4), 则假设有效,b[n-2] = 1;
余数 M[2] = M[1] - pow(pow(2,n-1)*b[n-1] + pow(2,n-2)*b[n-2], 2) = M[1] - (pow(2,2)+1)*pow(2,2*n-4);
若 M[1] < (pow(2,2)*b[n-1] + b[n-2]) * pow(2,2*n-4), 则假设无效,b[n-2] = 0;余数 M[2] = M[1]。
(3) 同理,可以从高位到低位逐位求出M的平方根N的各位。
使用这种算法计算32位数的平方根时最多只须比较16次,而且每次比较时不必把M的各位逐一比较,尤其是开始时比较的位数很少,所以消耗的时间远低于牛顿迭代法。
3. 实现代码
这里给出实现32位无符号整数开方得到16位无符号整数的C语言代码。
/****************************************/
/*Function: 开根号处理 */
/*入口参数:被开方数,长整型 */
/*出口参数:开方结果,整型 */
/****************************************/
unsigned int sqrt_16(unsigned long M)
{
unsigned int N, i;
unsigned long tmp, ttp; // 结果、循环计数
if (M == 0) // 被开方数,开方结果也为0
return 0;
N = 0;
tmp = (M >> 30); // 获取最高位:B[m-1]
M <<= 2;
if (tmp > 1) // 最高位为1
{
N ++; // 结果当前位为1,否则为默认的0
tmp -= N;
}
for (i=15; i>0; i--) // 求剩余的15位
{
N <<= 1; // 左移一位
tmp <<= 2;
tmp += (M >> 30); // 假设
ttp = N;
ttp = (ttp<<1)+1;
M <<= 2;
if (tmp >= ttp) // 假设成立
{
tmp -= ttp;
N ++;
}
}
return N;
}
相关问答
单片机 的指令集有哪些?不知道你想问什么样的单片机?我假设51.不知道你要c语言的还是汇编的,我假设汇编的指令有很多,不可能一下子全部学习完毕,要警惕松鼠心态。希望我的回答能...
哪些 单片机 支持 c语言 编程?不应该说单片机是否支持C语言,目前任何计算机都不直接支持C语言。而应该说某个单片机的开发环境是否支持C语言。就目前来说,几乎所有的单片都有支持C语言的...
单片机 为什么还在用 C语言 编程?答案是:C语言是最适合单片机编程的高级语言。这个问题的意思应该是:现在有很多很好用的高级语言,如java,python,VC等等,为...单片机为什么还在用C语言编程?答案...
c语言 跟 单片机 的关系?C语言是一门面向过程的、抽象化的通用程序设计语言,广泛应用于底层开发。C语言能以简易的方式编译、处理低级存储器。C语言是仅产生少量的机器语言以及不需要...
51 单片机c语言常用 指令详解?51单片机是一种常用的微控制器,C语言是其常用的编程语言。以下是51单片机C语言常用指令的详解:数据传输指令:用于数据的输入/输出和数据的内部传输。例如MOV、...
单片机c语言 和c语言区别?单片机C语言和标准C语言之间存在一些差异,主要区别在于它们的应用场景和功能。应用场景:单片机C语言主要用于嵌入式系统的编程,如单片机、微控制器等。这些设...
做 单片机C语言 编程,(就是给单片机编软件,用C语言)对C语言要掌握到什么程度?做单片机C语言编程,对C语言基础并没有特别高的要求,只要基本掌握C语言程序结构、关键字及其意义和用法、数据类型和作用域及定义与使用、算术及逻辑运算符用法...
从事 单片机 的工作, C语言 、电路基础、数字电路、模拟电路分别要掌握到什么程度呢?软件算法要求也有提高。如果是做软件开发平台(类似集成开发环境,主要给编程人员使用软件),这就对C语言要求高了。要求精通多种单片机系统,对各种硬件和软件...
单片机 的 c语言 怎么植入?单片机C语言只是编程语言,需要转成单片机能认识的汇编语言,才能植入!具体步骤如下:1、把C语言编译为编程器支持的语言格式,比如常用的bin,或hex等格式。2...
单片机 汇编语言和 c语言 区别?学了C语言和单片机,来挑战下这个问题。Keil5同时支持汇编语言.asm和C语言.c。以下以51单片机为例。对于汇编语言,你要掌握100多条指令,背下来更好[呲牙]要区分...
