基于MSP430单片机的四旋翼飞行器控制系统设计
汤金萍,周雷,金阿锁
(南通大学 电气工程学院, 江苏 南通 226019)
四旋翼飞行器是由4个带桨叶电机驱动并形成十字交叉结构的一种飞行器。本试验是以MSP430F149单片机为主控芯片,搭建四旋翼飞行器控制系统。以MPU-6050传感器获取飞行器的姿态信息,经过递推滤波算法,得到可靠的姿态数据,通过四元数融合算法,进行姿态解算,获得四旋翼飞行器的姿态角,然后借助PID控制算法,消除四旋翼飞行器在飞行过程中不可预测的误差,最后,以PWM波的形式控制无刷直流电机,实现四旋翼飞行器的自平稳控制。本试验完成了四旋翼飞行器的自平稳控制系统,能够基本实现四旋翼飞行器的平稳起飞与降落。
MSP430;MPU-6050;欧拉角;四旋翼飞行器;闭环控制
四旋翼飞行器是多旋翼飞行器中最常见、最简单的一种。2010年世界首款四旋翼飞行器AR.Drone问世,它由法国Parrot公司发布。它的定位是一款高科技玩具,性能非常优秀,轻便,很安全,容易控制,而且还能实现自悬停,拍摄图像,并通过WiFi传输到手机上显示。
DJI是众多四旋翼飞行器公司中值得一提的公司之一。在早些年,DJI主要工作放在直升机的控制上,在AR.Drone问世后,DJI看到了四旋翼飞行器的市场,开始研究四旋翼飞行器产品。2012年,DJI相继推出了几款飞行器产品。在当时AR.Drone的引领下,全球刮起了一股四旋翼飞行器商业化的热潮。
2013年1月,DJI推出Phantom,如图1所示。四旋翼飞行器被开发用作一个新领域——航拍。“Phantom”的中文意思是精灵,与它的外形很相配。随着Phantom的推出,四旋翼飞行器的市场也开始发生变化。Phantom很容易操作,没有操控经验的新手也可很快学会操作。与AR.Drone相比,Phantom的尺寸更大一些,在户外飞行时,抗风干扰的能力更强,Phantom还有GPS导航功能,可以飞行的范围很大。Phantom最大的特点,就是可搭载摄像机。Phantom可通过连接架挂载GoPro运动相机,拍摄极限运动。Phantom可以从不一样的视角拍摄,而且,与传统的飞机航拍不同,它小巧、灵活,可以让拍摄者自由控制角度。Phantom+GoPro拍摄模式的出现,让四旋翼飞行器更有生机。说多旋翼飞行器重新定义了航拍,一点都不为过。
从现在的四旋翼飞行器市场来看,一部分是以AR.Drone为代表的玩具市场,另一部分就是以DJI Phantom、DJI S1000为代表的航拍飞行器市场[1]。著名的快递公司顺丰就进行了多旋翼飞行器送快递的实验。在一些人类活动困难的地点,如火山口、沼泽地等,将多旋翼飞行器用于地质勘测的情况也越来越多。军事方面,多旋翼飞行器可以用于无人机侦察等。另外,多旋翼飞行器还可以用作森林防火监控、高速公路车辆监控、公共领域现场监控等。
1总体方案
1.1四旋翼飞行器基本结构
四旋翼飞行器是由4个带桨叶电机驱动并形成十字交叉结构的一种飞行器,本试验的四旋翼飞行器采用十字飞行方式,电机1为正前方,由此确定前后、左右。4个电机分别安装在十字结构的4个顶点,由此形成的四个旋翼结构相同,两两对称[2]。飞行控制器和电池被安装在中间交叉点位置。四旋翼飞行器的结构形式如图2所示。
1.2运动姿态分析
四旋翼飞行器由四个旋翼共同提供升力,通过改变4个电机转速,调节4个旋翼的升力,由此控制飞行器的姿态和飞行方向。四旋翼飞行器一共有6个自由度,4个力输入,6个状态输出,因此它是一个欠驱动系统[3]。
四旋翼飞行器常见的飞行方式有2种[4]:X飞行方式与十字飞行方式,其中两个电机正转,两个电机反转,以抵消自旋转力。本试验采用的是十字飞行方式,电机2、4顺时针旋转,电机1、3逆时针旋转。
规定电机1的方向即为正前方向,也是x轴方向;电机2为左方向,即y轴方向;电机3为右方向;电机4为后方向;z轴方向与x、y垂直向上。四旋翼飞行器的运动姿态可分为6种:垂直运动、俯仰运动、滚转运动、偏航运动、前后运动、倾向运动,如图3所示。
2硬件系统设计
2.1硬件框架
四旋翼飞行器硬件结构如图4所示,以MSP430F149单片机为主控芯片,作为飞控板,采用MPU-6050获取飞行器姿态数据,并通过PWM波控制电子调速器,调节电机转速。用Nokia5110显示屏显示飞行器内部数据,便于调试。
2.2电源
对于四旋翼飞行器,电源的质量会很大程度地影响它的飞行。本试验所使用的是新西达2212 KV2200电机,搭配5043号桨叶,当单电机满载运行时,实测电流可达到21.1 A。所以当飞行器满载运行时,总电流将达到80 A以上。同时,考虑到四旋翼飞行器的搭载能力,电源的质量非常重要。本试验选用狮子 3S11.1V2 200 mAh 电池搭配电子调速器作为电源。
2.3角度传感器模块
MPU-6050是全球首例整合性6轴运动处理传感器,由InvenSense公司推出。MPU6050整合了3轴加速度传感器和3轴角速度传感器,其检测轴与方向如图5所示。
3轴加速度传感器的精度可编程选择,范围为:±2 g、±4 g、±8 g和±16 g[5]。
3轴角速度传感器精度范围:±250、±500、±1 000°/s与±2 000°/s。
2.4电机与电子调速模块
2.4.1选用电子调速器控制无刷直流电机
选用电机与电子调速器控制无刷直流电机。可用在四旋翼飞行器上的直流电机有无刷电机和有刷电机两种。无刷电机在运行时不会产生火花,减小了对遥控器无线信号的干扰,同时相对于有刷电机更安静、运行更顺畅,且结构可靠,基本不需要维护。所以电子调速器控制无刷电机更适合用作四旋翼飞行器。
2.4.2新西达2212KV2200电机
新西达2212KV2200电机的内部共7对极,12个绕组。
新西达2212KV2200电机的6种通电情况下,电机是外转子结构,即内部有线圈的部分为定子,有7对极的外壳为转子。
2.5飞控(MSP430F149)
MSP430是TI公司生产的低功耗系列单片机。采用16位精简指令结构(RSIC)[6],其特点是:超低功耗;处理能力强;丰富的片内外设;系统工作稳定;开发环境简单、方便。
3软件与控制算法
飞控程序是实现四旋翼飞行器控制系统的关键。由定时器A产生20 ms中断,每次中断发生,MSP430F149通过I2C采集一次MPU-6050的数据,获取原始姿态数据,经过递推滤波、四元数融合算法,得到姿态角,再根据需要的飞行姿态,并通过PID算法,计算得到电机的控制量,最后经过PWM的方式控制电机转速[7]。在下一次中断发生时,飞行器的姿态信息通过MPU-6050更新到单片机,以此循环,从而实现了四旋翼飞行器的自平稳控制系统。
程序流程如图6所示。
4系统测试及实现成果
4.1姿态解算测试
在姿态解算测试时,使用Nokia5110显示屏,通过更改程序,可分别显示传感器原始数据、递推滤波后数据、四元数算法融合后数据、PWM波占空比数据。这样可以让用户直观方便地了解到数据处理结果,便于发现问题并进行调试,如图7所示。
实验结果表明:在小幅度摆动飞行器时,屏幕显示的姿态角信息(姿态角)无误。
4.2PID参数测试
PID控制的一个优点就是可以消除不可预测的误差,而PID参数是一组经验参数,需要根据实际的控制系统测试,选择合适的PID参数。对于四旋翼飞行器,PID调试方法如下:
(1)四旋翼飞行器采用十字飞行方式,俯仰角由电机1、3控制,滚转角由电机2、4控制。
(2)在调节俯仰时,先设置I、D为0(这里以P、I、D分别代表比例参数、积分参数、微分参数),只改变P的量,由小到大依次变化。当系统出现临界振荡,或收敛振荡时,此时的P值就是所需要的数据。
(3)比例环节是PID调节中最难调节的一个,只要确定了P值,积分和微分环节就比较容易实现。
(4)微分系数D也是影响系统调节的一个重要参数。微分环节的作用就是减缓误差的变换速度。在四旋翼飞行器中,就是让旋翼的摆动速度不能过快。在步骤(2)中,四旋翼飞行器已经出现等幅振荡,在等幅振荡的过程中,两个极值处的振荡速度最慢,在中间理想位置处,振荡速度最快。加入了微分环节D之后,在振荡速度最快的中间理想位置,微分环节作用最大,从而抑制了系统的过调,只要选择合适的D值,四旋翼飞行器就会快速、准确地调节到理想位置,而且不会出现过调。
PID参数的设定受到系统实际情况的影响,在不同的四旋翼飞行器之间也有所不同,所以PID参数需要实际的测试才能够确定。PID参数的测试结果如表1和表2所示。
5结论
本试验对四旋翼飞行器的结构进行了分析,完成了四旋翼飞行器的自平稳控制系统,能够基本实现四旋翼飞行器的平稳起飞与降落。本文介绍四旋翼飞行器的发展现状和发展历程,列举了四旋翼飞行器研究的部分技术难点,对四旋翼飞行器的飞行姿态进行了分析,并介绍了四旋翼飞行器软、硬件的实现。
参考文献
[1] DAS A, SUBBARAO K, LEWIS F. Dynamic inversion with zerodynamics stabilization for quadrotor control[J]. IET Control Theory and Applications, 2009, 3(3): 303-314.
[2] MIAN A A,Wang Daobo. Modeling and back stepping based nonlinear control strategy for a 6 DOF quadrotor helicopter[J]. Chinese Journal of Aeronautics,2008(21):261-268.
[3] 侯永锋,陆连山,高尚德,等. 基于PD算法的四旋翼飞行器控制系统研究[J]. 机械科学与技术, 2012,31(3):359-362.
[4] 王璐. 欠驱动四旋翼无人飞行器的滑模控制[J]. 哈尔滨工程大学学报, 2012,33(10):1-6.
[5] 陈卫,杨忠,夏玉亮,等. MEMS加速度传感器在微型特种机器人中的应用[J]. 传感器与微系统, 2009,28(7):110-113.
[6] 杨平,王威. MSP430系列超低功耗单片机及应用[J]. 国外电子测量技术,2008,27(12):48-50.
[7] 黎泉,苏家强,李晓冉. 直流电机同步控制系统设计[J]. 河池学院学报, 2010,30(5):46-51.
AET会员年终大福利!
基于四元数的前臂假肢手部自平衡的设计
樊炳辉1,张凯丽1,王传江1,刘圭圭1,张芳丽2
(1.山东科技大学机器人研究中心,山东 青岛266590;2.友邦电力设备有限公司,黑龙江 哈尔滨150000)
摘 要: 针对残疾人的前臂假肢在端水等运动过程中需要手部虎口一直与大地保持平行,即手部实现姿态自平衡问题,提出采用四元数的姿态解算算法,并采用卡尔曼滤波融合MPU6050传感器中陀螺仪和加速度计的输出数据,补偿了陀螺仪输出数据的随机漂移误差,得到前臂假肢手部姿态的正确估计。该系统由安卓手机、STM32单片机、MPU6050传感器、高性能数字舵机组成,通过安卓手机语音识别向STM32单片机发送是否保持手部自平衡指令,由STM32实时采集MPU6050中陀螺仪和加速度计的数据并经过算法处理后,通过串口向舵机发送信号。实验结果表明,这种姿态估计算法有效地解决了前臂假肢在运动过程中手部自平衡问题,为前肢缺失的残疾人提供了便利。
中图分类号: TP242.6
文献标识码: A
DOI: 10.16157/j.issn.0258-7998.2016.05.022
中文引用格式: 樊炳辉,张凯丽,王传江,等. 基于四元数的前臂假肢手部自平衡的设计[J].电子技术应用,2016,42(5):78-81.
英文引用格式: Fan Binghui,Zhang Kaili,Wang Chuanjiang,et al. Design of hand self-balance for the forearm prosthetic based on quaternion[J].Application of Electronic Technique,2016,42(5):78-81.
0 引言
世界上每年因战争、自然灾害、交通事故等原因引起的残疾人数多达千万人以上,其中大部分为肢体残疾,而目前市场上的大部分假肢都是作为装饰性用品,真正实现功能代偿的假肢数量较少。为满足残疾人日常生活的需求,本系统对前臂假肢做了姿态规划,即控制前臂旋转和手腕俯仰两个电机,使得假肢末端手爪的虎口平面与大地水平面始终保持平行,如图1所示。这样假肢在抓取和移动目标物体的过程中,可以保证运动平稳,对移动水杯等类似操作尤其重要。在前臂假肢的平衡控制过程中,姿态传感器将检测到的前臂假肢的姿态信号送入STM32,经算法运算得到控制量驱动舵机来控制前臂的扭转和手部的俯仰,从而使前臂假肢的手部恢复到平衡状态。可以看出,获取实时的前臂假肢的姿态是保持手部平衡的前提。因此,实现一种实时可靠的前臂假肢姿态估计算法尤为重要,它直接影响其手部自平衡性能。
姿态解算的算法有多种,常用的算法有欧拉角法、方向余弦法与四元数法,由于欧拉角法求解时,方程中存在奇点,方向余弦法计算量大,因此现在常用的方法为四元数法,其计算量小,无奇点[1-2]。姿态估计算法必须考虑到传感器容易受温度及噪声的影响而产生不同程度的漂移,它会影响姿态估计的准确性。针对这一问题,本文采用卡尔曼滤波的方法来融合陀螺仪和加速度计输出的数据,修正了陀螺仪输出量中的随机漂移分量[3]。
1 系统硬件设计
随着安卓智能手机的发展与普及,为了让前臂假肢的控制更加方便和标准化,提出了以安卓手机离线识别语音及应用蓝牙通信技术实现安卓手机无线控制假肢运动的方案。本文介绍的前臂假肢可实现手部平衡,除此之外,在不需要手部保持平衡的环境下,安卓手机通过语音识别可控制前臂假肢关闭手部自平衡功能和实现手部上抬、下落、内转、外转和张合等动作。该系统由安卓手机、蓝牙模块、MPU6050、STM32微控制器、MX-28高性能舵机组成,系统的控制流程如图2所示。
其中,选用MPU6050做为前臂假肢的姿态检测系统,MPU6050在单个产品封装内集成了3轴陀螺仪和3轴加速度计。由于前臂假肢不需获知偏航角,所以本文采用了MPU6050来获取前臂假肢的俯仰角和横滚角。整个控制过程由MPU6050测量姿态变化,并通过前臂扭转以及手腕俯仰来根据姿态变化实时进行调整,使其达到自平衡状态。
MPU6050安装在假肢的腕部,其安装位置如图3所示。将MPU6050安装在控制前臂旋转关节的上部并固定在连杆上,左右位置可以变化,但要确保其所在的平面与手爪虎口所在平面平行。安装完成后,前臂绕MPU6050的X轴旋转,手腕绕MPU6050的Y轴俯仰。
2 四元数姿态解算算法
四元数的数学概念是1843年由哈密顿首先提出的。它是由一个实部单位和3个虚部单位i、j、k组成,其形式为:q=q0+q1i+q2j+q3k。四元数可以表示旋转,其标量部分表示旋转角度的大小,矢量部分表示转轴的方向[4-5],应用四元数时必须进行归一化,也就是令其模值为1。
前臂假肢的定位由固定的内部的三维坐标确定,一个坐标系到另一个坐标系的变换,可以通过绕不同坐标轴的3次连续转动来实现。顺时针绕横滚轴,即绕载体坐标系的X轴旋转,得到横滚角φ;顺时针绕俯仰轴,即绕载体坐标系的Y轴旋转,得到俯仰角θ;顺时针绕偏航轴,即绕载体坐标系的?爪轴旋转,得到偏航角γ[6]。
四个参数的初始值是由欧拉角的初始值经过以下计算得到的[6-9]:
利用四元数微分方程可以实现四元数的更新,其中,ω是陀螺仪测量的角速度。
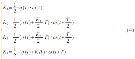
应用四阶龙格—库塔算法解微分方程,得到4个参数的更新值。具体过程如下[12-14]:
设:
则:
其中,T为更新周期,q(t)为初始四元数,q(t+T)为更新后的四元数,K1是时间段T开始时的斜率,K2是时间段中点的斜率,K3也是中点的斜率,K4是时间段终点的斜率。
计算得到这4个参数之后,可由姿态矩阵T更新欧拉角[15]:
得到姿态角,即可得到前臂假肢的姿态估计。
前臂假肢在平衡的情况下,欧拉角的理想输出值应该是0°,但由于陀螺仪有随机漂移误差,欧拉角会一直积累[16]。实验结果图4所示。
针对这一问题,提出了应用卡尔曼滤波的数据融合算法来解决。卡尔曼滤波可以将陀螺仪的输出数据和加速度计的输出数据融合起来。陀螺仪用于测量角速度,动态跟踪性能好,但陀螺仪受温度、不稳定力矩等因素的影响,会产生随机漂移误差;加速度计可用于测量加速度,通过测得的加速度值与重力加速度的比值得到倾角值,加速度计静态性能好,但是动态跟踪性能差。可以看出,陀螺仪和加速度计优缺点互补,结合起来会有好的效果[17-18]。
3 实验结果分析
3.1 四元数法和卡尔曼滤波实验结果分析
将MPU6050静止平放在桌上,采集其经四元数姿态解算和卡尔曼滤波后输出的数据,通过MATLAB工具对实测数据进行仿真分析,如图5所示,俯仰角和横滚角都在附近,对比图4发现卡尔曼滤波有效解决了陀螺仪的随机漂移误差,可以准确地获取静态时前臂假肢的姿态。
将MPU6050安装到前臂假肢上,令前臂假肢绕MPU6050的X轴从平衡位置顺时针逐步旋转到-40°,一段时间后,回到平衡位置,再沿X轴逆时针逐步旋转到40°,采集这一过程MPU6050经四元数姿态解算和卡尔曼滤波后输出的数据,通过MATLAB工具对实测数据进行仿真分析,横滚角发生相应的变化,俯仰角基本保持不变,如图6(a)所示。令前臂假肢绕MPU6050的Y轴重复以上实验,根据图6(b)可以看出,俯仰角发生相应的变化,横滚角基本保持不变。由于实验过程中手动旋转前臂假肢,操作者偶有抖动和难做到匀速转动,因此,图6中的波形中偶有小的波动。实验表明,本文采用的姿态估计可以实现前臂假肢动作时姿态的正确估计,经过STM32运算处理后,实现前臂假肢在运动过程中保持手部平衡。
3.2 前臂假肢手部自平衡实验结果分析
对前臂假肢系统组装并调试,通过安卓手机软件向假肢发出保持手部平衡的命令。具体测试步骤:连接好线路,打开电源,观察指示灯正常亮起,触击控制界面的蓝牙连接按钮,观察指示灯,以确保手机蓝牙和蓝牙模块的配对连接成功;否则,检查系统的连接是否正确。蓝牙配对成功后,向安卓手机喊出“平衡”指令,手机通过蓝牙将指令传到单片机,从而控制前臂假肢运动。实验结果如图7、图8所示。
图7(a)~图7(e)展示了前臂假肢从下往上转动过程中,其手部可以实现自平衡,手部虎口一直保持与大地平行。
图8中以箭头指向的地点为参考点,可以看出图8(a)~图8(c)为前臂假肢由内往外转动过程,同样假肢手部能实现自平衡。
4 结论
此前臂假肢采用四元数法的姿态解算算法,并利用卡尔曼滤波融合MPU6050中陀螺仪和加速度计的数据,得到其正确的姿态估计。经实验测试,该系统运行稳定、可靠,所设计的姿态估计算法能够很好地跟踪前臂假肢的真实姿态,实现了假肢手部的姿态自平衡控制。此前臂假肢可以辅助残疾人完成喝水等动作,方便了他们的生活,也减轻了家属的负担。
参考文献
[1] 杜海龙,张荣辉,刘平,等.捷联惯导系统姿态解算模块的实现[J].光学精密工程,2008,16(10):1956-1962.
[2] 张荣辉,贾宏光,陈涛,等.基于四元数法的捷联式惯性导航系统的姿态解算[J].光学精密工程,2008,16(10):1963-1970.
[3] 杨凌霄,李晓阳.基于卡尔曼滤波的两轮自平衡车姿态解算方法[J].计算机仿真,2014,31(6):406-409.
[4] 叶锃锋,冯恩信.基于四元数和卡尔曼滤波的两轮车姿态稳定方法[J].传感技术学报,2012,25(4):524-528.
[5] 吕印新,肖前贵,胡寿松.基于四元数互补滤波的无人机姿态解算[J].燕山大学学报,2014,38(2):175-180.
[6] 张思奇,赵忆文.便携式移动机器人姿态解算方法[J].微计算机信息,2007,23(10-2):188-190.
[7] 祝乔,汪旭东,崔家瑞.基于四元数的航天器姿态非线性控制器[J].信息与控制,2012,41(2):170-179.
[8] 贾秋玲,闫建国,王建民.空间多刚体系统姿态的协同控制[J].信息与控制,2005,34(4):385-388.
[9] 赵国文.机器人运动学中的四元数矩阵和基变换矩阵[J].机器人,1993,15(2):59-64.
[10] 张天光,王秀萍,王丽霞,等,译.捷联惯性导航技术(第二版)[M].北京:国防工业出版社,2007:29-33.
[11] 秦永元.惯性导航[M].北京:科学出版社,2006:287-305.
[12] 崔璐璐.基于MEMS器件的姿态测量系统研究与实现[D].大连:大连理工大学,2009.
[13] 王励扬,霍昆明,何文涛,等.四阶龙格库塔算法在捷联惯性导航中的应用[J].计算机仿真,2014,31(11):56-59.
[14] 张慧春,吴简彤,何昆鹏,等.四阶龙格-库塔法在捷联惯导系统姿态解算中的应用[J].应用科技,2005,32(6):37-39.
[15] 邓正隆.惯性技术[M].哈尔滨:哈尔滨工业大学出版社,2006:14-164.
[16] 金光明,张国良,陈林鹏.MEMS陀螺仪静态漂移模型与滤波方法研究[J].传感器与微系统,2007,26(11):48-50.
[17] 冯智勇,曾瀚,张力,等.基于陀螺仪及加速度计信号融合的姿态角度测量[J].西南师范大学学报(自然科学版),2011,36(4):137-141.
[18] 刘星.多维MEMS惯性传感器的姿态解算算法研究[D].哈尔滨:哈尔滨工程大学,2013.
相关问答
6050 传感器的应用?MPU6050应用(IIC通讯)MPU-6050是全球首例9轴运动处理传感器。它集成了3轴MEMS陀螺仪,3轴MEMS加速度计,以及一个可扩展的数字运动处理器DMP,可用I2C接口连接...
计步 mpu6050 优势?MPU6050是一种能够检测三轴加速度、三轴陀螺仪(三轴角速度)的运动数据以及温度数据的芯片,被广泛应用于手机、智能手环、四轴飞行器、计步器等的姿态检测。它...
mpu6050 陀螺仪接多少电压?MPU6050陀螺仪的电源供应是灵活且有一定范围的。以下是关于MPU6050陀螺仪的电压要求的详细说明:电源电压范围:MPU6050陀螺仪的电源电压VDD供电范围为2.375V~3...
l3g4200d和 mpu6050 有什么区别?l3g4200d和mpu6050的区别主要体现在以下三个方面:首先,l3g4200d是一款独立的三轴陀螺仪传感器,通过I2C或SPI接口与微控制器连接,可以测量高达2000dps的旋转率...
mpu6050 怎么让z轴从0度开始?你的桌子不是绝对水平,由重力加速度的作用会在其它轴上产生一定的分量。而且所有设备都有一点误差的,因为不可能所有的芯片都是做的完全精确,要自己调校一...
mpu6050 自带dmp怎么用?要使用MPU6050自带的DMP(数字运动处理器),首先需要将MPU6050与你的控制器(如Arduino)连接。然后,你需要加载MPU6050库并初始化传感器。接下来,你可以使...
朋友们 有谁能解答一下吗!!宁波模具接单平台有没有,模具...身边知道的朋友都说中模云他们家的产品效果都很好中模云商城,平台基于5G、大数据、工业互联网和智能制造模具产业公共服务,全面打通模具上下游产业...
mpu6050 地线为何加电容?MPU6050是一种常用的惯性测量单元,用于测量加速度和角速度。地线上加电容主要是为了滤除电源线上的高频噪声,保证传感器的稳定工作。电容可以提供低阻抗路径,...
mpu6050 安装方向反了?如果MPU6050安装方向反了,那么它所测量的加速度和角速度的方向也会相应地反向。这意味着,如果你想正确地获取传感器的数据,你需要对其进行校准和调整。具体来...
mpu 9250与 mpu6050 比较优缺点?MPU9250与MPU6050都是常用的运动传感器模块,用于测量物体的三维加速度和角速度。相比MPU6050,MPU9250的优点主要体现在集成了磁力计,能够测量地磁场强度,从而...
